Knihovna Akademie věd České republiky je pověřena od roku 1994 koordinací sběru dat a správou záznamů o výsledcích základního výzkumu, které vznikají na 54 pracovištích Akademie věd České republiky.
Bibliografické záznamy i plné texty publikací jsou shromážděny v Institucionálním repozitáři AV ČR, data jsou uložena v databázi ASEP v modulu Evidence publikací knihovního systému Advanced Rapid Library (ARL).
Programová nadstavba Analytika ASEP slouží pro zobrazení analytických přehledů, je založená na kombinaci dotazů a výpočtů nad daty v ASEP, které v on-line katalogu nelze zobrazit.
Odkaz do Institucionálního repozitáře AV ČR: https://asep.lib.cas.cz/arl-cav/cs/vyhledavani/
Na stránkách jednotlivých subjektů (AV, vědních oblastí, sekcí, ústavů, oddělení, autorů) je levé vertikální menu, které má stejnou strukturu u všech stránek, ale nabídka se liší v závislosti na subjektu, ke kterému patří. Obecně je menu rozděleno na tři části - přehled publikací, statistické a grafické výstupy a přehledy projektů a výsledků, za jejichž podpory vznikly.
Vpravo od vertikálního menu je zobrazen filtr, kde je možno nastavit limity - výběr časového období, druhu dokumentu, typu projektu, poskytovatele aj. dle obsahu, kterého se zobrazení týká. Pod filtrem je umístěna datová oblast, k bibliografickým a grafickým přehledům jsou připravena jednoduchá řazení, zobrazení, exporty a tisky.
Bibliografické přehledy záznamů pracují s reálnými daty v databázi, grafické přehledy jsou aktualizovány denně, datum aktualizace je zobrazeno na stránkách.
Odkaz do Institucionálního repozitáře AV ČR: https://asep.lib.cas.cz/arl-cav/cs/vyhledavani/
Hlavní strana – výběr ústavů, horní lišta
Na hlavní stránce aplikace je zobrazen seznam pracovišť AV ČR, kde jsou ústavy seřazeny dle vědních oblastí (I. Vědy o neživé přírodě, II. Vědy o živé přírodě a chemické vědy a III. Humanitní a společenské vědy).
Horizontální menu, které je stejné na všech stránkách aplikace, obsahuje odkaz na úvodní stranu systému, do on-line katalogu a na webovou stránku vědních oblastí. Dále je zde umístěno pole pro rychlé hledání autora a záznamu dle systémového čísla. Informace o systému jsou popsány v nápovědě, je možno přepnout aplikaci do angličtiny.
Analytika pracovišť, vědeckých útvarů (oddělení), vědeckých pracovníků
Každé pracoviště, oddělení a autoři má na Analytikách ASEP vytvořenu svou webovou stránku, kde jsou shromážděny výstupy, které se týkají daného subjektu.
Bibliografie autorů je stránka se seznamem autorů, kteří publikovali za daný ústav, lze zobrazit jen současné pracovníky ústavu, případně najít hledaného autora vyplněním pole „hledat“. Odkazy u jmen autorů vedou na webovou stránku autora na Analytikách ASEP.
Pokud má autor přidělen identifikátor (číslo ID) v databázi WOS, u jeho jména se v seznamu autorů objevuje ikonka s odkazem do databáze ResearcherID ve WOS. Ikonky všech identifikátorů se zobrazují na osobních stránkách autorů (Scopus, ORCID).
Identifikátory vědeckých pracovníků zajišťují jednoznačnou identifikaci vědce a jeho vědeckých výstupů a projektů i při použití různých variant jmen a různých afiliací. Jeden univerzální identifikátor neexistuje, proto je možno do ASEP uložit k jednomu vědeckému pracovníkovi zatím tři identifikátory RID – ResearcherID (WOS), SAI - Scopus Author Identifier (SCOPUS) a ORCiD - Open Researcher and Contributor ID. Identifikátor ResearcherID (RID) mají vytvořen všichni současní pracovníci ústavů AV ČR, kteří publikují ve WOS.
Filtry
Oddělení umožňuje filtrování výsledků na úroveň oddělení daného ústavu dle jejich zápisu v databázi ASEP.
Obor dle WoS JCR nabízí zobrazení oborů, do kterých byly v databázi WoS JCR zařazeny časopisy v nichž daný ústav ve zvoleném období publikoval.
Zobrazit kolaborace nad 30 autorů umožňuje zobrazit počet výstupů, které mají v databázi ASEP uvedeno 30 a více autorů. Hodnota je zobrazena pouze v části tabulky a to v závorce. Údaj v buňce 18 (2) tedy znamená, že ústav/oddělení daný rok v daném decilu/kvartilech vyprodukoval 18 výstupů se zvoleným indikátorem a dva z těchto výstupů mají 30 či více autorů.
Výpočty a indikátory
QAIS
Zařazení časopisu do decilu nebo kvartilu dle hodnoty vypočítaného AIS AL pct, v rámci oboru a roku. V případě, že časopis má dle databáze WoS JCR přiřazen více než jeden obor, je proveden vážený průměr těchto AIS AL pct ve všech oborech časopisu, kde váha je počet časopisů v oboru. Obory jsou zde uvažovány jako categories dle WoS JCR.
Pro zařazení do prvního decilu platí zároveň tyto dvě podmínky: 1. Ve všech oborech časopisu AIS AL pct ≥ 75; 2. Nadpoloviční většina (nebo polovina) AIS AL pct časopisů před provedením váženého průměru splňuje AIS AL pct ≥ 90.
Pro zařazení do kvartilů platí: 100 ≤ 1Q ≥ 75 AIS AL pct, 75 < 2Q ≥ 50 AIS AL pct, 50 < 3Q ≥ 25 AIS AL pct, 25 < 4Q ≥ 0 AIS AL pct.
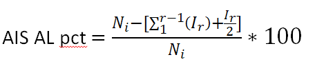
Percentilové pořadí na základě AIS zohledňující velikost časopisu (Article Influence Score Artlicle level; AIS AL pct) - představuje pořadí časopisu v rámci oboru na základě AIS převedené v percentilovou hodnotu, což umožňuje smysluplné porovnání napříč vědními obory. Tento indikátor je vypočítán na základě hodnot AIS přebíraných z databáze JCR. Vzorec jeho výpočtu je:

Kde: Ni – Počet citovatelných jednotek (citable items – Article, Review, Proceeding paper) všech časopisů v oboru, roce a s přiděleným AIS.
r – rank časopisu v oboru a roce dle AIS sestupně.
Ir – počet citovatelných jednotek v časopise, jehož pořadí na základě AIS je r.
AIS
Je hodnota průměrného vlivu článku v daném časopise. Je počítán z Eigenscore, je odolný vůči autocitacím v rámci časopisu, počítán za 5-ti leté období od vydání článku, citace mají různou váhu dle ranku časopisů, ze kterých citace pochází, je normalizovaný na obor, rok a druh dokumentu. Hodnota rovná 1 značí průměr.
https://jcr.help.clarivate.com/Content/glossary-article-influence-score.htm
QSJR
Představuje pořadí časopisu v rámci oboru na základě SJR, převedeno na kvartilovou hodnotu, což umožňuje smysluplné porovnání napříč vědními obory. Tento indikátor je přebírán přímo z databáze Scopus.
SJR
(SCImago Journal Rank) Je časopisecký indikátor, jež pracuje s váženými citacemi z časopisu, od kterého citace pochází. Váha závisí na oboru časopisu dle Scopus a prestiži časopisu. Citační okno je 3 leté.
http://www.scimagojr.com/SCImagoJournalRank.pdf
n.a. Pro AIS a QAIS označuje výstupy v časopisech, které nejsou v databázi WoS JCR, nebo nemají v databázi WoS JCR přiřazené AIS (nebo je AIS rovno nule). Pro SJR se jedná o výstupy v časopisech, které nejsou v databázi Scopus, nebo byly odstraněny při čištění stažených dat z důvodu nejednoznačnosti.
Zobrazované prvky
Tabulka zvoleného indikátoru tabulkovým zobrazení ukazuje počty kusů výstupů daného ústavu ve decilu/kvartilech a zvolených rocích. Dle volby uživatele může zobrazovat kolaborace nad 30 autorů a součet v decilu/kvartilech přes zvolené roky. První kvartil obsahuje 0-25%, první decil v něm je zahrnut. První kvartil tedy není 10-25%.
Graf sloupcový absolutních kusů zobrazuje počty kusů výstupů daného ústavu ve decilu/kvartilech a zvolených rocích. První kvartil obsahuje 0-25%, první decil v něm je zahrnut. První kvartil tedy není 10-25%. Od tabulky se liší pouze grafickým vyjádřením. Je však možno skrýt decil i kvartily.
Graf sloupcový procentuální zobrazuje poměrné množství výstupů ústavu/oddělení dle zařazení do decilu/kvartilech. První kvartil obsahuje 0-25%, první decil v něm je zahrnut. První kvartil tedy není 10-25%.
Graf agregovaný je zobrazen, pouze pokud je zaškrtnuta možnost „Součet za vybrané roky“. Ukazuje součet absolutních kusů prací daného ústavu/oddělení v decilu/kvartilech za vybrané období. První kvartil obsahuje 0-25%, první decil v něm je zahrnut. První kvartil tedy není 10-25%.
Aktualizace dat časopiseckých indikátorů probíhá každý rok v srpnu, kdy je přidán i rok předchozí. Např. v srpnu 2018 jsou přidány indikátory pro rok 2017. Aktualizace vychází z databáze WoS JCR, kde jsou hodnoty aktualizovány a přidány přibližně na začátku srpna. Tato frekvence aktualizace je zvolena i pro Scopus.
Indikátory AIS
Tato stránka obsahuje indikátory, založené na Web of Science metrice Article Influence Score (AIS).
Data na této stránce jsou importovaná přímo z Web of Science Journal Citation Reports (WoS JCR) za pomoci Clarivate Journals API.
Importovaná data z WoS jsou za posledních 10 let. Tj. 2015 - 2024.
Popis sloupců:
Indikátory JIF
Tato stránka obsahuje indikátory, založené na Web of Science metrice Journal Impact Factor (JIF).
Data na této stránce jsou importovaná přímo z Web of Science Journal Citation Reports za pomoci Clarivate Journals API.
Importovaná data z WoS jsou za posledních 5 let. Tj. 2019 - 2024.
Popis sloupců:
Hodnota ve sloupci ukazuje JIF pro daný časopis za daný rok.
Indikátory SJR
Tato stránka obsahuje indikátory, založené na Scopus metrice SCImago Journal Rank (SJR).
Data na této stránce jsou importovaná přímo z NEVÍM za pomoci NEVÍM.
Importovaná data ze Scopusu jsou za posledních 5 let. Tj. 2019 - 2024.
Popis sloupců:
U každého ústavu/autora lze zobrazit výstupy k projektům (od roku 2001), kde je ústav/autor příjemcem nebo spolupříjemcem finanční podpory. Zvláštní pozornost je věnována projektům výzkumu, vývoje a inovací podporovaných z veřejných prostředků uložených v databázi Centrální evidence projektů VaVaI (CEP). U těchto projektů je uveden odkaz do databáze CEP https://www.isvavai.cz/cep?s=jednoduche-vyhledavani.
Je možné zobrazit pouze projekty určitého poskytovatele. Výběr Projekty CEP bez výsledku informuje, které projekty nemají dosud výsledek v RIV. V ASEP jsou také evidovány zahraniční a ostatní tuzemské projekty, je zde možnost výběru a zobrazení těchto projektů .
U každého projektu je seznam výsledků odevzdaných do RIV, včetně odkazů na jejich ohodnocení, a odkaz do on-line katalogu s výběrem těchto výsledků.
Výsledky navázané na institucionální podporu je možno zobrazit jako bibliografické přehledy, nebo v tabulce, kde jsou uvedeny počty záznamů vybraných druhů dokumentů za vybrané časové období.
V záložce projekty AV ČR lze zobrazit projekty AV ČR pro ústav, např.:
Vyhledaná data lze vytisknout, uložit v pdf nebo exportovat záznamy do formátu excel (csv).
Oddělení ústavu zobrazuje seznam všech oddělení ústavu s odkazy na jejich stránky na Analytikách ASEP.
Počty záznamů umožní výběr druhů dokumentů za zvolené časové období.
Filtry
Oddělení umožňuje filtrování výsledků na úroveň oddělení daného ústavu dle jejich zápisu v databázi ASEP.
Obor dle WoS Categories nabízí zobrazení oborů (Categories), do kterých byly v databázi WoS zařazeny výstupy, které daný ústav ve zvoleném období publikoval.
Obory dle WoS JCR nabízí zobrazení oborů, do kterých byly v databázi WoS JCR zařazeny časopisy v nichž daný ústav ve zvoleném období publikoval.
Oborová členění WoS Categories a WoS JCR nejsou shodná. Modul JCR je výrazně výběrovější oproti databázi WoS Core Collection. Některé obory (například ART) se v oborovém členění JCR nenachází.
Zobrazit kolaborace nad 30 autorů umožňuje zobrazit počet výstupů, které mají v databázi ASEP uvedeno 30 a více autorů. Hodnota je zobrazena pouze v části tabulky a to v závorce. Údaj v buňce 18 (2) tedy znamená, že ústav/oddělení daný rok v daném decilu/kvartilech vyprodukoval 18 výstupů se zvoleným indikátorem a dva z těchto výstupů mají 30 či více autorů.
Výpočty a indikátory
Citační
QTC
Výstupy hodnocené podle QTC byly pouze typy dokumentů Article, Proceedings Paper a Review. Pro dané roky byl pro každý jednotlivý rok a typ dokumentu stažen seznam oborů WoS Categories. V rámci každého jednotlivého roku a typu dokumentu byly stanoveny meze prvního decilu a kvartilů dle počtu citací.
Například rok 2010, Article, obor Acoustic měl v době stažení dat tyto vlastnosti:
V oboru Acoustic, typu dokumentu Article, rok 2010 bylo ve WoS (Core Collection včetně ESCI) indexováno 3921 (N) záznamů.
Nejcitovanější práce obdržela 223 (Cmax) citací. Pro prvních 10% nejcitovanějších prací platilo, že každá práce měla minimálně 32 (C10) citací. 32 citací byla tedy hranice pro zařazení výstupu AV do 1. decilu.
Analogicky pro zařazení do 2. kvartilu bylo zapotřebí 8 až 17 citací.
Práce s méně jak 7 (C50) citacemi byly zařazeny do 3+4 kvartilu.Třetí a čtvrtý kvartil je spojen z důvodu nízkého počtu citací v daných kvartilech a rozlišení mezi třetím a čtvrtým kvartilem je velmi obtížné, často nemožné.
Kritéria
Výstupy AV mohly být dle WoS zařazeny až do dvou DT a až do šesti oborů. V případech dvou DT se jednalo pouze o kombinaci Article a Proceeding. Kombinace typu Article a Book Chapter byly automaticky zařazeny do Article. Výstup mohl být hodnocen tedy až ve dvanácti oborech.
Nejprve bylo provedeno základní roztřídění publikací do kvartilů (decilu) dle mezí citací (pro daný obor, rok a typ); následně byly výsledky upraveny tak, aby se používaly pouze hodnoty statisticky dostatečně relevantní, tj. některé výsledky byly zaměněny za n.a. (not analyzed) – jestliže je potřebný počet citací velmi nízký (např. při C10=1) následně byly hodnoty ozávorkovány, jestliže je hodnověrnost snížená (kritérium ozávorkování).
Pro zohlednění statistické významnosti a zároveň pro uchování informace o citovanosti v oborech s menší citovaností a počtem dokumentů, byla použita dvě kritéria (méně a více přísné):
Časopisecké
QAIS
Zařazení časopisu do decilu nebo kvartilu dle hodnoty vypočítaného AIS AL pct, v rámci oboru a roku. V případě, že časopis má dle databáze WoS JCR přiřazen více než jeden obor, je proveden vážený průměr těchto AIS AL pct ve všech oborech časopisu, kde váha je počet časopisů v oboru. Obory jsou zde uvažovány jako categories dle WoS JCR.
Pro zařazení do prvního decilu platí zároveň tyto dvě podmínky: 1. Ve všech oborech časopisu AIS AL pct ≥ 75; 2. Nadpoloviční většina (nebo polovina) AIS AL pct časopisů před provedením váženého průměru splňuje AIS AL pct ≥ 90.
Pro zařazení do kvartilů platí: 100 ≤ 1Q ≥ 75 AIS AL pct, 75 < 2Q ≥ 50 AIS AL pct, 50 < 3Q ≥ 25 AIS AL pct, 25 < 4Q ≥ 0 AIS AL pct.
Percentilové pořadí na základě AIS zohledňující velikost časopisu (Article Influence Score Article level percentile, AIS AL pct) - představuje pořadí časopisu v rámci oboru na základě AIS převedené v percentilovou hodnotu, což umožňuje smysluplné porovnání napříč vědními obory. Tento indikátor je vypočítán na základě hodnot AIS přebíraných z databáze JCR. Vzorec jeho výpočtu je:

Kde: Ni – počet citovatelných jednotek (citable items – Article, Review, Proceeding paper) všech časopisů v oboru, roce a s přiděleným AIS.
r – rank časopisu v oboru a roce dle AIS sestupně.
Ir – počet citovatelných jednotek v časopise, jehož pořadí na základě AIS je r.
AIS
Je hodnota průměrného vlivu článku v daném časopise. Je počítán z Eigenscore, je odolný vůči autocitacím v rámci časopisu, počítán za 5-ti leté období od vydání článku, citace mají různou váhu dle ranku časopisů, ze kterých citace pochází, je normalizovaný na obor, rok a druh dokumentu. Hodnota rovná 1 značí průměr.
https://jcr.help.clarivate.com/Content/glossary-article-influence-score.htm
QSJR – představuje pořadí časopisu v rámci oboru na základě SJR, převedeno na kvartilovou hodnotu, což umožňuje smysluplné porovnání napříč vědními obory. Tento indikátor je přebírán přímo z databáze Scopus.
SJR
(SCImago Journal Rank) Je časopisecký indikátor, jež pracuje s váženými citacemi z časopisu, od kterého citace pochází. Váha závisí na oboru časopisu dle Scopus a prestiži časopisu. Citační okno je 3 leté.
http://www.scimagojr.com/SCImagoJournalRank.pdf
n.a. Pro AIS a QAIS označuje výstupy v časopisech, které nejsou v databázi WoS JCR, nebo nemají v databázi WoS JCR přiřazené AIS (nebo je AIS rovno nule). Pro SJR se jedná o výstupy v časopisech, které nejsou v databázi Scopus, nebo byly odstraněny při čištění stažených dat z důvodu nejednoznačnosti.
Zobrazované prvky
Tabulka zvoleného indikátoru tabulkovým zobrazení ukazuje počty kusů výstupů daného ústavu ve decilu/kvartilech a zvolených rocích. Dle volby uživatele může zobrazovat kolaborace nad 30 autorů a součet v decilu/kvartilech přes zvolené roky. První kvartil obsahuje 0-25%, první decil v něm je zahrnut. První kvartil tedy není 10-25%.
Graf sloupcový absolutních kusů zobrazuje počty kusů výstupů daného ústavu ve decilu/kvartilech a zvolených rocích. První kvartil obsahuje 0-25%, první decil v něm je zahrnut. První kvartil tedy není 10-25%. Od tabulky se liší pouze grafickým vyjádřením. Je však možno skrýt decil i kvartily.
Graf sloupcový procentuální zobrazuje poměrné množství výstupů ústavu/oddělení dle zařazení do decilu/kvartilech. První kvartil obsahuje 0-25%, první decil v něm je zahrnut. První kvartil tedy není 10-25%.
Graf agregovaný je zobrazen, pouze pokud je zaškrtnuta možnost „Součet za vybrané roky“. Ukazuje součet absolutních kusů prací daného ústavu/oddělení v decilu/kvartilech za vybrané období. První kvartil obsahuje 0-25%, první decil v něm je zahrnut. První kvartil tedy není 10-25%.
Aktualizace dat článkových indikátorů probíhá shodně s aktualizací časopiseckých indikátorů. Tedy každý rok v průběhu října, kdy je přidán i rok předchozí. Např. v říjnu 2018 jsou přidány indikátory pro rok 2017.
Aktualizace dat časopiseckých indikátorů probíhá každý rok v říjnu, kdy je přidán i rok předchozí. Např. v říjnu 2018 jsou přidány indikátory pro rok 2017. Aktualizace vychází z databáze WoS JCR, kde jsou hodnoty aktualizovány a přidány přibližně na konci září. Tato frekvence aktualizace je zvolena i pro Scopus.
Přehled oddělení zobrazí v jedné tabulce počty záznamů vybraných druhů dokumentů za zvolené časové období všech oddělení ústavu.
Přehled periodik nabízí seznam vybraných periodik (všechna periodika, WoS JCR (s hodnotou AIS), Scopus (s hodnotou SJR), Ostatní periodika) a počet publikovaných článků v těchto periodikách za zvolené časové období.
Filtry
Oddělení umožňuje filtrování výsledků na úroveň oddělení daného ústavu dle jejich zápisu v databázi ASEP.
Druhy dokumentů
Všechna periodika vyberou z databáze všechny záznamy daného ústavu ve zvoleném období s příznakem J v databázi ASEP.
Možnost výběru WoS JCR vybere pouze takové záznamy, jež jsou v databázi ASEP opatřeny hodnotou AIS a jsou záznamy daného ústavu ve zvoleném období. Z databáze WoS JCR je pro daný rok stažen a očištěn (odstraněny duplicity) seznam časopisů a jejich AIS. Párování s databází ASEP proběhlo podle ISSN uvedeného ve WoS JCR.
Scopus vybere pouze takové záznamy, jež jsou v databázi ASEP opatřeny hodnotou SJR a jsou záznamy daného ústavu ve zvoleném období. Z databáze Scopus je pro daný rok stažen a očištěn (odstraněny duplicity a nejednoznačnosti) seznam časopisů a jejich SJR. Párování s databází proběhlo podle ISSN uvedených ve Scopus.
Ostatní periodika Vybere takové záznamy, které mají v databázi ASEP příznak J a zároveň nemají přidělenou hodnotu AIS, či SJR.
Obory dle WoS JCR nabízí zobrazení oborů, do kterých byly v databázi WoS JCR zařazeny časopisy v nichž daný ústav ve zvoleném období publikoval.
Výpočty a indikátory
QAIS
Zařazení časopisu do decilu nebo kvartilu dle hodnoty vypočítaného AIS AL pct, v rámci oboru a roku. V případě, že časopis má dle databáze WoS JCR přiřazen více než jeden obor, je proveden vážený průměr těchto AIS AL pct ve všech oborech časopisu, kde váha je počet časopisů v oboru. Obory jsou zde uvažovány jako categories dle WoS JCR.
Pro zařazení do prvního decilu platí zároveň tyto dvě podmínky: 1. Ve všech oborech časopisu AIS AL pct ≥ 75; 2. Nadpoloviční většina (nebo polovina) AIS AL pct časopisů před provedením váženého průměru splňuje AIS AL pct ≥ 90.
Pro zařazení do kvartilů platí: 100 ≤ 1Q ≥ 75 AIS AL pct, 75 < 2Q ≥ 50 AIS AL pct, 50 < 3Q ≥ 25 AIS AL pct, 25 < 4Q ≥ 0 AIS AL pct.
Percentilové pořadí na základě AIS zohledňující velikost časopisu (Article Influence Score Artlicle level; AIS AL pct) - představuje pořadí časopisu v rámci oboru na základě AIS převedené v percentilovou hodnotu, což umožňuje smysluplné porovnání napříč vědními obory. Tento indikátor je vypočítán na základě hodnot AIS přebíraných z databáze JCR. Vzorec jeho výpočtu je:

Kde: Ni – Počet citovatelných jednotek (citable items – Article, Review, Proceeding paper) všech časopisů v oboru, roce a s přiděleným AIS.
r – rank časopisu v oboru a roce dle AIS sestupně.
Ir – počet citovatelných jednotek v časopise, jehož pořadí na základě AIS je r.
AIS
Je hodnota průměrného vlivu článku v daném časopise. Je počítán z Eigenscore, je odolný vůči autocitacím v rámci časopisu, počítán za 5-ti leté období od vydání článku, citace mají různou váhu dle ranku časopisů, ze kterých citace pochází, je normalizovaný na obor, rok a druh dokumentu. Hodnota rovná 1 značí průměr.
https://jcr.help.clarivate.com/Content/glossary-article-influence-score.htm
QSJR
Představuje pořadí časopisu v rámci oboru na základě SJR, převedeno na kvartilovou hodnotu, což umožňuje smysluplné porovnání napříč vědními obory. Tento indikátor je přebírán přímo z databáze Scopus.
SJR
(SCImago Journal Rank) Je časopisecký indikátor, jež pracuje s váženými citacemi z časopisu, od kterého citace pochází. Váha závisí na oboru časopisu dle Scopus a prestiži časopisu. Citační okno je 3 leté.
http://www.scimagojr.com/SCImagoJournalRank.pdf
n.a. Pro AIS a QAIS označuje výstupy v časopisech, které nejsou v databázi WoS JCR, nebo nemají v databázi WoS JCR přiřazené AIS (nebo je AIS rovno nule). Pro SJR se jedná o výstupy v časopisech, které nejsou v databázi Scopus, nebo byly odstraněny při čištění stažených dat z důvodu nejednoznačnosti.
Aktualizace dat časopiseckých indikátorů probíhá každý rok v srpnu, kdy je přidán i rok předchozí. Např. v srpnu 2018 jsou přidány indikátory pro rok 2017. Aktualizace vychází z databáze WoS JCR, kde jsou hodnoty aktualizovány a přidány přibližně na začátku srpna. Tato frekvence aktualizace je zvolena i pro Scopus.
Přínos autorů umožňuje zadat a zobrazit počty a skladbu výsledků pro konkrétní autory z ústavu, u každého zobrazeného jména autora je odkaz na jeho osobní stránku v Analytikách ASEP.
Publikace ASEP zobrazí přehledy bibliografických záznamů. Výběr je možné zúžit na vybrané roky, druhy dokumentů, záznamy nahlášené do databáze Rejstřík informací o výsledcích (RIV) Rady pro výzkum, vývoj a inovace. Zobrazí se prvních 50 záznamů, každou stránku je možné vytisknout, uložit v pdf nebo exportovat do formátu excel (csv). Vyhledané záznamy lze třídit a zobrazit dle několika předdefinovaných druhů třídění a zobrazovacích formátů.
U každého záznamu jsou zobrazeny dostupné odkazy do databází RIV, WOS, SCOPUS, DOI případně další odkazy, které doplňují informace o výsledku, nebo umožňují poskytnutí plného textu. Odkazy do databáze WOS či SCOPUS umožňují, pokud uživatel má přístup do těchto databází, si ihned prohlédnout citace daného výsledku, odkaz DOI uživatele nasměruje k dalším možnostem získání plného textu. Všem záznamům je přidělen jednoznačný trvalý identifikátor prostřednictvím systému Handle. Handle je jednoduchý a trvalý identifikátor odkazující k URL objektu.
Pokud je plný text výsledku uložen v repozitáři ASEP, u záznamu je ikonka a link. Ikonka ukazuje, zda jsou záznamy přístupné v režimu open access nebo na vyžádání.
RIV - Rejstřík informací o výsledcích - je databáze Rady vlády, výzkumu a inovací, do které se každoročně odevzdávají vybrané výsledky z ASEP. Stránka slouží ke kontrole dat, která jsou připravena v daném roce sběru k odevzdání za ústav/vědeckého pracovníka. Ve filtru \"RIV\" je možnost vybrat i záznamy, které nejsou označeny pro odevzdání v daném roce sběru a tím zkontrolovat, zda se nezapomnělo některý záznam označit.
Data grafických přehledů pro jednotlivé subjekty - ústav, oddělení, či autora, ke kterému se váží. Data jsou aktualizována denně.
Počty záznamů umožní výběr druhů dokumentů za zvolené časové období.
Přehled oddělení zobrazí v jedné tabulce počty záznamů vybraných druhů dokumentů za zvolené časové období všech oddělení ústavu.
Impaktovaná periodika nabízí tyto grafické přehledy: počet impaktovaných článků, součet impaktů, průměrný impakt/pětiletý impakt na jeden článek za zvolené časové období a grafy pětiletých kumulací.
Přehled periodik nabízí seznam vybraných periodik (všechna periodika, impaktovaná nebo neimpaktovaná periodika) a počet publikovaných článků v těchto periodikách za zvolené časové období.
Přínos autorů umožňuje zadat a zobrazit počty a skladbu výsledků pro konkrétní autory z ústavu, u každého zobrazeného jména autora je odkaz na jeho osobní stránku v Analytikách ASEP.
Data lze vyexportovat do pdf, vytisknout tabulku či vytisknout stránku.
Stránka obsahuje výsledky vědecké práce pro vědní oblasti. Ústavy AV ČR jsou rozděleny podle oborového zaměření do tří skupin:
I. Vědy o neživé přírodě (Astronomický ústav AV ČR, v. v. i., Fyzikální ústav AV ČR, v. v. i., Geofyzikální ústav AV ČR, v. v. i., Geologický ústav AV ČR, v. v. i., Matematický ústav AV ČR, v. v. i., Ústav fyziky atmosféry AV ČR, v. v. i., Ústav fotoniky a elektroniky AV ČR, v. v. i., Ústav fyziky materiálů AV ČR, v. v. i., Ústav fyziky plazmatu AV ČR, v. v. i., Ústav geoniky AV ČR, v. v. i., Ústav pro hydrodynamiku AV ČR, v. v. i., Ústav informatiky AV ČR, v. v. i., Ústav jaderné fyziky AV ČR, v. v. i., Ústav přístrojové techniky AV ČR, v. v. i., Ústav struktury a mechaniky hornin AV ČR, v. v. i., Ústav teoretické a aplikované mechaniky AV ČR, v. v. i., Ústav teorie informace a automatizace AV ČR, v. v. i., Ústav termomechaniky AV ČR, v. v. i.);
II. Vědy o živé přírodě a chemické vědy (Biologické centrum AV ČR, v. v. i., Biofyzikální ústav AV ČR, v. v. i., Biotechnologický ústav AV ČR, v. v. i., Botanický ústav AV ČR, v. v. i., Fyziologický ústav AV ČR, v. v. i., Mikrobiologický ústav AV ČR, v. v. i., Ústav anorganické chemie AV ČR, v. v. i., Ústav biologie obratlovců AV ČR, v. v. i., Ústav chemických procesů AV ČR, v. v. i., Ústav experimentální botaniky AV ČR, v. v. i., Ústav experimentální medicíny AV ČR, v. v. i., Ústav fyzikální chemie J. Heyrovského AV ČR, v. v. i., Ústav analytické chemie AV ČR, v. v. i., Ústav makromolekulární chemie AV ČR, v. v. i., Ústav molekulární genetiky AV ČR, v. v. i., Ústav organické chemie a biochemie AV ČR, v. v. i., Ústav výzkumu globální změny AV ČR, v. v. i., Ústav živočišné fyziologie a genetiky AV ČR, v. v. i.);
III. Humanitní a společenské vědy (Filosofický ústav AV ČR, v. v. i., Historický ústav AV ČR, v. v. i., Knihovna AV ČR, v. v. i., Masarykův ústav a Archiv AV ČR, v. v. i., CERGE UK, Orientální ústav AV ČR, v. v. i., Psychologický ústav AV ČR, v. v. i., Slovanský ústav AV ČR, v. v. i., Sociologický ústav AV ČR, v. v. i., Středisko společných činností AV ČR, v. v. i., Ústav dějin umění AV ČR, v. v. i., Ústav pro jazyk český AV ČR, v. v. i., Ústav pro soudobé dějiny AV ČR, v. v. i., Ústav státu a práva AV ČR, v. v. i., Ústav pro českou literaturu AV ČR, v. v. i.).
Každá oblast je rozdělena podrobněji na sekce. Je možné zobrazit grafické přehledy pro vybraný subjekt.
Počty záznamů - nabídka grafických přehledů počtů záznamů vybraných druhů dokumentů za zvolené časové období pro jednotlivé oblasti, sekce i celou AV ČR.
Počty záznamů všech VO - přehledy všech vědních oblasti a možnost jejich vzájemného porovnání.
Sekce - nabídka grafických přehledů počtů záznamů vybraných druhů dokumentů za zvolené časové období pro sekce a jednotlivé ústavy spadající do sekcí.
Celá AV ČR - nabídka grafických přehledů počtů záznamů vybraných druhů dokumentů za zvolené časové období pro celou AV ČR.
Přehled všech ústavů - nabídka grafických přehledů počtů záznamů vybraných druhů dokumentů za zvolené časové období pro jednotlivé ústavy AV ČR.